Biomolecules

Black abstract jellyfish shape

Biomolecules

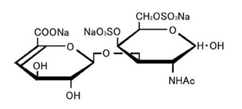
Cosmo Bio USA provides a comprehensive, systematically selected portfolio of biomolecules from leading global suppliers, supporting advanced research across molecular biology, lipidomics, immunology, proteomics, and cell biology. Cosmo Bio Co., Ltd. distributes essential research reagents including DNA molecular weight markers, bacteriophage DNA, cDNA libraries, and glycosaminoglycans such as chondroitin and heparan sulfates—fundamental components for glycobiology and extracellular matrix investigations. Larodan offers an extensive collection of ultra-pure lipids, including fatty acids, sterols, glycerides, and phospholipids, utilized in lipidomics, metabolic profiling, and membrane biology studies. CUSABIO enhances the collection with a diverse catalog of validated recombinant proteins, peptides, and biochemicals, supporting multiple applications in oncology, immunology, infectious disease, and neuroscience. Atlas Antibodies facilitates assay development and antibody validation with their proprietary PrEST antigens, developed from the Human Protein Atlas.

MBL International supplies specialized biomolecules including cytokines, chemokines, and growth factors—essential tools for elucidating immune responses, inflammatory processes, and signaling pathways. Cellular Engineering Technologies (CET) complements the selection with yeast-expressed recombinant human proteins formulated for stem cell maintenance, differentiation, and regenerative medicine applications. These high-purity reagents exemplify Cosmo Bio USA's dedication to facilitating discovery by providing researchers with validated, application-specific tools. For investigations in cellular pathways, stem cell engineering, or lipid profile characterization, Cosmo Bio USA supplies the biomolecular reagents to support scientific advancement and experimental reproducibility across diverse fields of life science and biomedical research.

 
Product Name
Supplier
Clonality
Application
Reactivity
Price